Comparação entre uma dieta vegetariana e uma dieta onívora otimizadas com o auxílio da programação linear e da linguagem de programação Julia
Palavras-chave:
Dieta vegetariana, Linguagem Julia, Programação linear inteira, Dieta onívoraResumo
A Sociedade Vegetariana Brasileira considera como vegetariano o indivíduo que exclui de sua alimentação todos os tipos de carne, incluindo seus derivados, podendo ou não utilizar laticínios ou ovos. Nos útimos anos, têm-se observado uma crescente adesão a este tipo de dieta, crescimento este, que reflete uma tendência mundial por uma busca de uma alimentação que seja mais saudável, sustentável e mais ética.
De acordo com Coceiro, et al. (2008), a dieta vegetariana difere da dieta onívora (com carnes e vegetais), em questões que vão além da simples retirada da carne. Os vegetarianos tem um consumo elevado de vegetais, frutas, cereais, legumes e castanhas, além de sua dieta conter menor quantidade de gordura saturada e maior quantidade de gorduras insaturada, carboidratos e fibras. Porém, quando se fala de dietas vegetarianas duas dúvidas ainda são recorrentes:
1) A dieta vegetariana supre as necessidades nutricionais do organismo?
2) A dieta vegetariana possui um custo mais elevado que a dieta onívora?
Frequentemente, vegetarianos são questionados sobre como fazem para substituir a proteína. E é comum as pessoas relacionarem a dieta vegetariana à alimentos especiais, que supostamente a tornaria uma dieta de custo muito mais elevado. Nesse trabalho utilizamos a programação matemática para analisar essas duas questões. Adaptamos o modelo da dieta da programação linear para obter uma dieta vegetariana balanceada com custo mínimo para uma pessoa adulta do sexo feminino. Paralelamente a isso, implementamos uma dieta onívora com custo mínimo para fins de comparação.
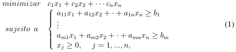
O problema da dieta é um dos problemas clássicos da programação linear. O objetivo do problema original era determinar uma dieta (onívora) de menor custo que satisfizesse às restrições mínimas de nutrientes de uma dieta balanceada [Calôba and Lins 2008]. Em sua formulação matemática original são considerados n alimentos que podem fazer parte de uma dieta. Cada um possui um determinado custo unitário c, j = 1,..,n e uma quantidade de m nutrientes relevantes para a dieta.
Desejava-se então, obter uma dieta adequada, que atendesse a uma quantidade mínima bi, i = 1,..., m do nutriente i, com um custo mínimo. Dessa forma, o modelo matemático original da dieta é dado por:
em que xj, para j = 1,..,n, são as variáveis do problema e representam a quantidade de alimento j que deve entrar na dieta e dij representa a quantidade do nutriente i que o alimento j possui. Foi Dantinzing em 1947 [Dantzig 1990], que resolveu pela primeira vez o problema da dieta de forma não heurística, testando o seu método iterativo Simplex, reconhecido até hoje na programação linear, como um dos melhores métodos para se resolver problemas de progamação linear de pequeno porte.
De acordo com a bibliografia sobre dietas vegetarianas alguns nutrientes merecem atenção nesse tipo de dieta [P. Coceiro and F.Lens 2008, E.Slywitch 2012], a saber: o ômega-3, o zinco, o ferro, o cálcio e a vitamina B12. Há ainda, na dieta vegetariana, algumas indicações diferenciadas de quantidades de nutrientes que devem ser ingeridos.
Recomenda-se, por exemplo, que a ingestão de ômega 3 e de ferro sejam o dobro da quantidade indicada na dieta onívora, que a ingestão de zinco seja de 50% a mais e que a proporção de ômega 6 e ômega 3, seja de 1:5. Incorporamos essas restrições à modelegem matemática do problema. Além disso, incluímos restrições relacionadas à limitação inferior e superior às quantidades de proteína, carboidrato, lipídio e calorias e uma restrição relacionada à Vitamina C, que auxilia na absorção do ferro.
Para que fosse possível limitar a quantidade de alimentos consumida em cada refeição, bem como limitar a quantidade do mesmo alimento na mesma refeição, optamos por trabalhar com porções inteiras de alimentos e, portanto, o modelo original foi adaptado para um problema de programação linear inteira. Assim, ao contrário do problema original, uma variável só pode assumir um valor inteiro.
Para compor a dieta vegetariana foram selecionados 107 alimentos da Tabela Brasileira de Composição de Alimentos - TACO [NEPA-UNICAMP 2011], adaptando-se a quantidade de nutrientes referentes a 100 gramas de cada alimento da tabela, para porção. Já, para a dieta onívora, incluímos carnes e derivados, totalizando 130 alimen-tos. Dessa forma, os modelos matemáticos de ambos os problemas, possuem mais de 100 váriáveis, cada uma representando um tipo de alimento que pode entrar na dieta. A variável correspondente a um alimento pode assumir valor 1 se uma porção do alimento entrar na dieta e valor 0, caso contrário.
O custo dos alimentos foram obtidos na internet a partir de sites de supermecados da região do Noroeste do Paraná no mês de outubro de 2019.
Ambos os modelos, da dieta vegetariana e da dieta onívora, foram implementados na linguagem de programação Julia, versão 1.1.0, que é uma linguagem de propósito geral e código aberto que visa um bom desempenho e produtividade [Castelluccia 2017]. Mais especificamente, utilizamos o pacote JuMP (Julia for Mathematical Programming), que é uma linguagem de modelagem embutida no Julia e que suporta mais de 10 resolvedores para problemas de otimização. Uma de suas principais características é a independência do solver a ser utilizado. Uma vez implementados os modelos, para solucioná-los, utilizamos a biblioteca GLPK (GNU Linear Programming Kit) que possui rotinas que implementam diversos algoritmos para solucionar problemas de otimização, dentre estes, problemas de programação linear inteira.
A Tabela 1 apresenta a média de dois dias do custo das dietas vegetariana e onívora, bem como a média da quantidade de nutrientes contidos em cada dieta obtida como solução da nossa implementação. Os 4 primeiros nutrientes estão em gramas, os três seguintes em miligramas e a B12 em micagramas.
Em relação a quantidade de nutrientes, diferenças significativas podem ser observadas quanto a quantidade de proteína, que na dieta vegetariana se apresentou inferior a dieta onívora, a quantidade de ferro, que na dieta vegetariana se apresentou superior e a quantidade de vitamina B12, que na dieta vegetariana é aproximadamente metade da dieta onívora. Porém ainda assim, a quantidade de proteína e B12 na dieta vegetariana se mantém acima do mínimo recomendado.
Na Tabela 1, também podemos observar que a média do custo da dieta vegetariana é de R$ 9,53 e da dieta onívora é de R$ 8,6, não evidenciando assim uma discrepância muito grande entre seus custos. Merece atenção também, uma comparação entre a quantidade de alimentos de ambas as dietas.
Na dieta vegetariana foram necessários em média 22 tipos de alimentos para suprir as recomendações diárias, enquanto na dieta onívora 17 tipos alimentos. Isso já era esperado, uma vez que uma única porção de carne supre várias das necessidades nutricionais diárias do organismos.
Ressaltamos que neste trabalho não temos a pretensão de dizer qual é a melhor dieta, pois isto envolve questões que vão além da programação linear, porém, por meio dela concluímos que é possível obter uma dieta vegetariana diária que atenda a quantidade de nutrientes recomendada e que o seu custo diário não é muito superior ao da dieta onívora. Cabe relembrar que em ambos os casos, buscou-se pela dieta de menor custo.
Referências
Calôba, G. and Lins, M. (2008). Programação Linear com aplicações em teoria dos jogos e avaliação de desempenho, volume 6.
Castelluccia, P. B. (2017). Tutorial convidado julia e jump: Novas ferramentas para programação matemática. In Pesquisa Operacional para o Desenvolvimento, volume 11, pages 48-61.
Dantzig, G. B. (1990). The diet problem. volume 20, pages 886-905.
E.Slywitch (2012). Guia alimentar de dietas vegetarianas para adultos. Sociedade Vegetariana Brasileira.
NEPA-UNICAMP (2011). Tabela brasileira de composição de alimentos - taco. Universidade Estadual de Campinas.
P. Coceiro, E. and F.Lens (2008). Padrão alimentar da dieta vegetariana. In Einstein, volume 6.
Downloads
Publicado
Edição
Seção
Categorias
Licença

Este trabalho está licenciado sob uma licença Creative Commons Attribution-ShareAlike 4.0 International License.
Os autores mantêm os direitos autorais sobre os trabalhos publicados nesta revista, concedendo à SETIF o direito de primeira publicação. O conteúdo está licenciado sob uma Licença Creative Commons Atribuição-CompartilhaIgual 4.0 Internacional (CC BY-SA 4.0), que permite copiar, redistribuir, remixar, transformar e criar a partir do material para qualquer finalidade, inclusive comercial, desde que seja atribuída a autoria e feita referência à publicação original nesta revista.
Os autores concordam que qualquer reutilização de seu trabalho por terceiros deve incluir o nome dos autores, o título do artigo, o nome da revista, o DOI (quando disponível) e o link para a licença.
É permitido e incentivado que os autores disponibilizem a versão publicada do trabalho em repositórios institucionais, sites pessoais ou redes acadêmicas imediatamente após a publicação, com menção à publicação inicial nesta revista.